The ancient secret of weight loss
I call fasting ‘The Ancient Secret of Weight Loss’ because it is one of the most powerful dietary interventions for weight loss, yet it has been almost completely ignored it in recent years.
Is there a maximum number of days to fast? No, not really. However, I will add a cautionary note. If you are taking medications or especially if you have diabetes, you need to discuss this with your physician before starting. The blood sugars often come down with fasting regimens, but if you are taking medications, it may come down too low. This is a potentially fatal condition called hypoglycaemia. It often manifests as shaking, sweating and sometimes seizures. Medications often need to be adjusted including blood sugar and blood pressure medications.
Also, if you feel unwell at any point during the fasting, you must stop. You may feel hungry, but you should not feel faint, or unwell or nauseated. This is not normal and you should not attempt to ‘push through’. I am not specifically recommending any fasting regimens, only trying to document various fasting regimens in widespread use.



He drank unlimited non-caloric fluids to prevent significant dehydration. At various periods, he did receive some potassium and sodium supplements, but not regularly and he was monitored by a physician throughout the fasting period to see if there was any deleterious effects on his health.



With this world record fast, this patient had bowel movements roughly every 37-48 days. What’s important to note is that this is a normal phenomenon. You do not need to have a daily bowel movement to feel well. People only have discomfort if there is a lot of stool that does not come out. With fasting, there is not a lot of stool inside the intestines, so not a lot needs to come out.
Nevertheless, less than once a month seems kind of extreme. We will often recommend standard laxatives such as milk of magnesia, available over the counter in Canada.
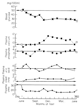
Fasting and electrolytes
The accompanying graph shows that blood sugars do go lower, but remain at the lower limit of normal, without any symptomatic episodes of hypoglycaemia. This is, of course, to be expected, since the body will begin the process of gluconeogenesis (making of new glucose) in order to supply the brain and certain other parts that need glucose (renal medulla and red blood cells). Even the brain is mostly using ketones at this point.
As previously shown, some muscle is consumed to provide glucose (gluconeogenesis), but not a significant amount as long as there are adequate fat stores for energy use. Instead, the glycerol backbone from triglycerides (fat) is recycled into glucose while the three fatty acid chains are used for fuel by most of the body.
If however, someone without adequate fat stores attempts prolonged fasts, then it is likely they will suffer concerning muscle loss in the process. This is one of many reasons to consult an experienced provider prior to embarking on a fasting program.



Serum magnesium levels did decrease in this study. This is consistent with what we see clinically in our clinic as well. It seems to be especially prevalent in patients with diabetes. 99% of the body’s magnesium is intracellular and not measured by blood levels. In this study, researchers took the extra step of measuring the magnesium content within the cells and the erythrocyte Mg levels remained firmly in the normal range. Nevertheless, we often supplement with magnesium to be on the safe side. Epsom salt baths are good for this.
The ancient secret
I’ve sometimes called Intermittent Fasting the ‘Ancient Secret’ of weight loss. Why do I resort to such hyperbole? Well, because it’s true. It is an ancient technique of weight loss – dating at to the time of the ancient Greeks over 2000 years ago.
So, if you want to talk about time-tested practices, nothing beats fasting. Consider that low-carb diets such as endorsed by William Banting also have a long history but only dating from the mid 1800’s, not nearly as long as fasting!



- Breakfast is the most important meal of the day and is not to be missed.
- You should eat 3 meals plus snacks to avoid hunger and temptations.
- You should eat a bedtime snack to prevent late night hunger and cravings.
- You should try to never miss a meal to prevent hunger and cravings.
- Purposeful skipping of meals can lead to eating disorders like anorexia nervosa.
Fasting does not cause anorexia



Nevertheless, because of all the worries, you can rest assured that there are studies that show that intermittent fasting does not lead to eating disorders.
So here’s the bottom line.
Can you fast? Yes – literally millions of people around the world for thousands of years have done it.
Is it unhealthy? No. In fact, it has many potential health benefits for the right individual.
Will you lose weight? Of course.
Is it difficult? Not really. Millions of people do it. But it’s not exactly fun, either.
So fasting is effective, simple (one main rule – don’t eat), flexible (lots of different regimens), practical (saves time and money), and efficacious. So why don’t people support it? One reason could be that nobody makes money when you fast.
You can lose weight and get healthy for free? Nobody must learn this Ancient Secret of Weight Loss!
—
Jason Fung
More
Intermittent fasting for beginners
Top videos about fasting
- MEMBERS ONLY
![The top 5 myths of fasting]()

- MEMBERS ONLY
![The 2 big lies of type 2 diabetes]()

- MEMBERS ONLY
![The cause of obesity]()

Earlier with Dr. Jason Fung
Insulin and Fatty Liver Disease
Obesity – Solving the Two-Compartment Problem
Why Fasting Is More Effective Than Calorie Counting
The Complete Guide to Fasting Is Finally Available!
How Does Fasting Affect Your Brain?
How to Renew Your Body: Fasting and Autophagy
Complications of Diabetes – A Disease Affecting All Organs
How Much Protein Should You Eat?
The Common Currency in Our Bodies Is Not Calories – Guess What It Is?
More with Dr. Fung
His book The Obesity Code is available on Amazon.
His new book, The Complete Guide to Fasting is also available on Amazon.






