New study: a low-carb diet and intermittent fasting beneficial for people with diabetes!

A Mediterranean breakfast without carbohydrates
A new exciting Swedish study provides us with strong clues on how a person with diabetes should eat (and how to eat to maximize fat burning). It’s the first study to examine in detail how various blood markers change throughout the day depending on what a person with type 2 diabetes eats.
The study examined the effects of three different diets in 19 subjects with diabetes type 2. They consumed breakfast and lunch under supervision in a diabetes ward. The caloric intake in the three diets examined was the same, but the diets differed in the following manner:
- A conventional low-fat diet (45-56% carbs)
- A Mediterranean diet with coffee only for breakfast (= similar to 16:8 intermittent fasting) and a big lunch (32-35% carbs)
- A moderate low-carbohydrate diet (16-24% carbs)
All participants tested all three diets, one diet each day in randomized order.
Results
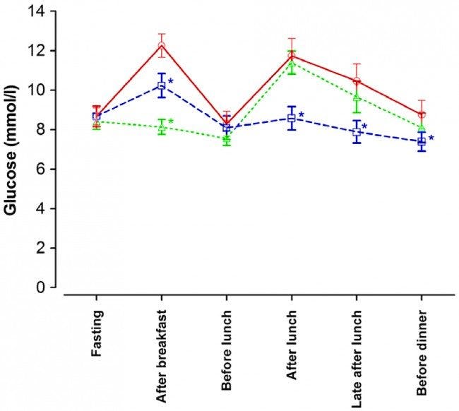
The effects on blood sugar levels throughout the day are shown in this chart:
The red line represents the low-fat diet that most people with diabetes are still advised to follow. This diet produced the WORST blood sugar levels throughout the day, which was fully expected (the low-fat diet contains more carbohydrates that raise blood sugar). Because too high a blood sugar level is the main problem in diabetes you could stop right there and award the low-fat diet the label “worst in test”.
The green line shows a Mediterranean diet higher in fat. The participants skipped breakfast and had a big lunch instead (an equal number of calories in breakfast+lunch as other participants). As we can see this led to excellent blood sugar levels in the morning. After the big lunch, blood sugar levels were similar to those of the small low-fat lunch!
Please note that in several Mediterranean countries, such as Italy, Greece, and Portugal, it’s quite common to skip breakfast.
The blue line represents a moderate low-carbohydrate diet. It only produced minor peaks after breakfast and lunch. In total it produced the lowest average blood sugar levels throughout the day.
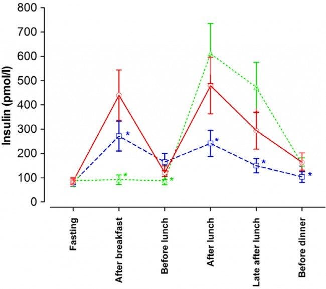
Insulin
Insulin levels were also measured throughout the day. Here’s the result:



The color codings are the same as above: Red = low-fat, green = fasting breakfast and blue = low-carb.
Skipping breakfast will, as expected, not elevate insulin levels, while a big lunch will produce a substantial peak.
The low-fat diet contained mostly carbohydrates and, as expected, caused the highest average elevations of insulin levels throughout the day. Bad news here too for people with diabetes with a decreased insulin sensitivity and with difficulty producing enough insulin. The low-fat diet that most people with diabetes are recommended to follow is worst in tests here too.
Lowest Insulin Levels, Best Fat-Burning Rates
The low-carbohydrate diet clearly produces the lowest average insulin levels throughout the day.
This is just a repeat of many previous studies. A low-carbohydrate diet produces much lower levels of the fat-storing hormone insulin. Period. This represents an advantage to all that want to burn more fat and store less body fat.
Conclusion
This is an exciting study, I think. As expected, a moderate low-carb diet produces great results. But also skipping breakfast and eating a bigger lunch, as is common in several Mediterranean countries, seems to be beneficial.
What happens if you combine these two advantages? If you eat a more low-carb diet AND skip breakfast? This could create more positive effects. Perhaps 1+1=3?
Finally: Is one of the reasons that the Mediterranean diet has been associated with good health just that people quite often just skip breakfast? Should intermittent fasting, like 16:8, be viewed as part of a healthful Mediterranean diet?
The Study
Read the study online for free: PLOS ONE: A Randomized Cross-Over Trial of the Postprandial Effects of Three Different Diets in Patients with Type 2 Diabetes
I had en e-mail exchange with one of the authors, Professor Nyström, about the study. He contributed with an interesting observation:
Despite almost twice as much insulin being produced, the increase in glucose levels was twice as big on the low-fat diet as compared to the high-fat diet.
The low-fat diet forced the body to produce twice as much insulin as compared to the low-carb diet. And the increase in blood sugar levels was still dramatically bigger. This shows how disastrously bad a carbohydrate rich low-fat diet is for people with diabetes.
More
Four Simple Steps to a Healthier and Leaner Life
Yes, a Low-Carb Diet Greatly Lowers Your Insulin
