Den urgamla hemligheten till viktminskning
Här följer ett översatt gästinlägg av dr Jason Fung, kanadensisk njurspecialist och världsledande expert på periodisk fasta och LCHF:
Jag kallar fasta för ’den urgamla hemligheten till viktminskning’ eftersom det är ett av de mest effektiva råden för viktminskning. Trots det har det nästan helt har ignorerats de senaste åren.
Finns det ett max antal dagar som man kan fasta? Egentligen inte. Dock ska jag lägga till en brasklapp. Om du tar läkemedel eller framförallt om du har diabetes, måste du diskutera detta med din läkare innan du börjar. Blodsockret sjunker ofta med fasta, men om du tar läkemedel kan det bli för lågt. Detta är ett potentiellt dödligt tillstånd som kallas hypoglykemi. Det manifesteras ofta som skakningar, svettningar och ibland kramper. Läkemedel behöver ofta anpassas, bland annat läkemedel för blodsocker och blodtryck.
Om du mår dåligt någon gång under fastan måste du sluta. Du kan känna dig hungrig, men du ska inte känna dig svag, eller må dåligt eller vara illamående. Det är inte normalt och du ska inte göra några försök att ”plåga dig igenom det”. Jag rekommenderar inte någon specifik typ av fasta, bara försöker dokumentera flera olika typer av fasta.



Han drack obegränsat med vätska, som inte innehöll några kalorier, för att förhindra betydande uttorkning. Vid olika tidpunkter fick han kalium- och salttillskott, men inte regelbundet och han blev noggrant övervakad av en läkare under hela fasteperioden för att se om det hade någon förödande effekt på hans hälsa.



Med detta världsrekord i fasta hade patienten tarmtömning ungefär var 37-48:e dag. Det som är viktigt att komma ihåg är att detta är ett normalt fenomen. Du behöver inte tömma tarmen dagligen för att må bra. Man känner sig bara obekväm om det finns en massa avföring som inte kan ta sig ut. Vid fasta finns inte mycket avföring i tarmarna, så det kommer inte ut så mycket.
Dock kan det verka ganska extremt med tarmtömning en gång i månaden. Vi rekommenderar ofta vanliga laxermedel, så som magnesiumhydroxid.
Fasta och elektrolyter
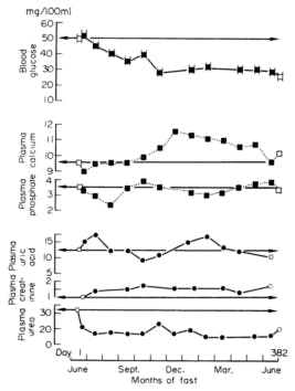
Grafen nedan visar att blodsockret sjunker, men håller sig på den lägre nivån av det som anses normalt, utan några symtom på hypoglykemi. Detta är förstås förväntat eftersom kroppen kommer att sätta igång glukoneogenesen (produktion av nytt glukos) för att förse hjärnan och vissa andra delar som behöver glukos (en del av njurarna och röda blodceller). Även hjärnan använder mestadels ketoner vid denna tidpunkt.
Som tidigare visats konsumeras mycket lite muskelmassa för att förse kroppen med glukos (glukoneogenesen). Istället återanvänds glycerolsidan från triglycerider (fett) till glukos medan de tre fettsyrekedjorna används som bränsle för största delen av kroppen.



Nivåerna av magnesium i blodet minskade i denna studie. Det stämmer också med vad vi kliniskt sett i vår klinik. Det verkar vara särskilt vanligt bland diabetiker. 99% av kroppens magnesium befinner sig inne i cellerna och går inte att uppmäta i blodet. I denna studie tog forskare ett extra steg och mätte magnesium inom cellerna och erytrocytnivåerna av magnesium förblev inom de normala gränsvärdena. Dock tillför vi ofta magnesium i form av tillskott för att vara på den säkra sidan. Bad med epsomsalt är bra för detta.
Viktminskning
Viktminskningstakten var i genomsnitt 0,33 kg per dag över hela perioden på 382 dagar. Andra studier på fasta i 200 dagar har visat liknande viktminskningstakter (från 0,19 till 0,3 kg per dag) vid perioder av 210, 236, 249 och 256 dagar. Detta ger ett genomsnitt på 0,26 som faktiskt är rätt intressant.
Vi antar att ett pund fett är 3500 kalorier. Detta är en vitt citerad modell, men inte särskilt exakt. Om vi antar att man äter 2000 kalorier per dag, så skulle vi förvänta oss en viktminskning på 2000/3500=0,57 pund viktminskning per dag, vilket är rätt nära det nummer vi faktiskt ser.
Så för en patient som har dryga 45 kg att gå ner kan man förvänta sig att det tar cirka 200 dagar att gå ner allt. 200 dagar! Detta förutsätter att kaloriförbrukningen förblir stabil vid fasta, vilket verkar stämma. Med andra ord – ämnesomsättningen minskar inte vid fasta. Å andra sidan leder kalorirestriktion under lång tid till en minskad ämnesomsättning.
Den forna hemligheten
Ibland har jag kallat periodisk fasta den ”urgamla hemligheten” till viktminskning. Varför återkommer jag till en sådan hyperbol? Tja, för att det stämmer. Det är en urgammal teknik för viktminskning – som går tillbaka till de gamla grekerna över 2000 år sedan.
Så om du vill snacka om beprövade metoder slår ingenting fasta. Tänk på att lågkolhydratkost som sådan, genom bland andra William Banting också har en lång historia men de har bara funnits sedan mitten av 1800-talet. Fetma var rätt ovanligt vid Jesus tid (en annan stark förespråkare av fasta, 2017 år sedan). Den kaloribegränsade, fettsnåla kosten, å andra sidan har en historia på bara 50 år, en behandlingsmetod obefläckad av tecken på att den skulle vara framgångsrikt.



- Du måste alltid äta frukost inom en minut från det att du går upp från sängen.
- Du måste äta måltider och mellanmål konstant, hela dagen, annars kommer du överväldigas av hunger och trycka i dig Krispy Kreme-donuts.
- Du bör äta mellanmål innan du går och lägger dig annars kommer du att bli hungrig när du sover och sedan trycka i dig Krispy Kreme-donuts när du vaknar upp.
- Du får aldrig någonsin hoppa över en måltid, annars kommer du att överväldigas av hunger och trycka i dig Krispy Kreme-donuts.
- Om du hoppar över en enda måltid så kommer du att utveckla ätstörningar som anorexia.
Fasta orsakar inte anorexi



Dock, på grund av all oro, kan du sova lugnt om natten och veta att det finns studier som bevisar att fasta inte leder till ätstörningar.
Tyvärr har offentligheten i stor utsträckning köpt dessa lögner. År 1977 åt den stora majoriteten tre gånger per dag. År 2003 åt majoriteten 5-6 gånger per dag. Ät mer för att gå ner i vikt? Detta viktminskningsråd är lika användbart som en tredje näsborre.
En stor del av detta nonsens finansieras av livsmedelsindustrin och läskindustrin. De vill sälja mer mat. Det är lättare att sälja mer mat om folk äter mer frekvent. Så för att göra det, var de tvungna att se till att du aldrig missar en enda måltid.
Här är slutsatsen.
Kan du fasta? Ja – miljontals människor runt om i världen har gjort det i tusentals år.
Är det ohälsosamt? Nej. Faktum är att det har enorma hälsofördelar, som vi inte ens har berört än.
Kommer du att gå ner i vikt? Här är det galna. Folk har övertygats att fasta kommer få dem att gå upp i vikt (spöket – svältläge). OK, Einstein – om du inte äter någonting på två veckor, tror du då att du kommer gå ner i vikt? Självklart.
Är det svårt? Inte egentligen. Miljoner personer gör det. Men det är inte kul precis, heller.
Så fasta är effektivt, enkelt (en huvudregel – ät inte), flexibelt (många olika typer av fasta), praktiskt (sparar tid och pengar) och mer eller mindre garanterat att fungera. Så varför stödjer inte folk det? För att ingen tjänar pengar när du fastar. Bara när du köper galna onödiga saker som måltidsersättningar.
Du kan gå ner i vikt och bli frisk gratis? Ingen kan få reda på denna urgamla hemlighet för viktminskning!
—
Jason Fung
Mer
Populära videor om fasta
- ENDAST MEDLEMMAR
![Klinisk användning av fasta]()

- ENDAST MEDLEMMAR
![Vem är dr Jason Fung?]()

- ENDAST MEDLEMMAR
![Vinsterna med en 7-dagarsfasta]()

- ENDAST MEDLEMMAR
![Orsaken till fetma]()

Tidigare med dr Fung
Tidigare artiklar av dr Jason Fung
Mer med dr Fung
Dr Fung har sin egen blogg på intensivedietarymanagement.com. Han är också aktiv på Twitter.
Jason Fungs bok The Obesity Code finns tillgänglig på Bokus.


